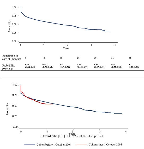
Figure 3

Figure 3a: Kaplan-Meier survival estimates of remaining alive and in care of patients initiating antiretroviral therapy (ART) in the Limbe ART programme, February 2002-December 2005. Figure 3b: Kaplan-Meier survival estimates of remaining alive and in care in the Limbe antiretroviral therapy (ART) programme, 2002-2005, by two cohorts distinguished by a major drug price reduction on 1 October 2004.