- Poster presentation
- Open Access
- Published:
Are non-B subtypes less susceptible to antiretroviral drugs? A bioinformatical approach to prediction of non-B subtype susceptibility
Journal of the International AIDS Society volume 11, Article number: P183 (2008)
Background
The first generation antiretrovirals that have been developed and used to treat primarily subtype B infected patients are finally becoming available in African countries. However, the subtype B is not the dominant subtype in Africa and the question remains if these subtypes are susceptible to these drugs. We will here try to answer this question by use of artificial neural networks (ANNs). We have previously showed that, based on the physiochemical properties of the amino acids, ANNs are able to extrapolate predictions to non-B subtypes with high accuracy [1].
Methods
We applied the use of these ANNs to further predict the IC50 FC susceptibility for the most dominant subtypes in Africa: A, C, G and CRF_AG; to the drugs: abacavir, amprenavir, atazanavir, didanosine, efavirenz, indinavir, lamivudine, lopinavir, nelfinavir, nevirapine, ritonavir, saquinavir, stavudine, tenofovir, zalcitabine, zidovudine. We obtained reference sequences for these subtypes from the Los Alamos HIV sequence database. These subtypes we used for input to the ANNs to predict the IC50 FC for each of the above drugs. We used an unpaired t-test to identify significant differences in mean of the IC50 FC values between B-subtype and non-B subtypes.
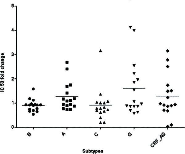
Summary of results
Plots of the predictions for the individual drugs and mean for each subtype is shown in Figure 1. We found no significant difference in mean IC50 FC for subtypes C (mean = 0.74) or CRF_AG (mean = 0.87) compared to the subtype B (mean = 1.02). But there was a significant difference between B and A (mean = 1.18) and B and G (mean = 1.31). Drugs with a predicted IC50 FC >2-fold are for A: zidovudine: 2.7 and nelfinavir: 2.4; C: nelfinavir 3.2; G: amprenavir: 2.2, zidovudine: 2.5, nelfinavir: 4 and atazanavir 4.1; CRF_AG: atazanavir: 2.5, zidovudine: 2.8 and nelfinavir 3.2. Excluding these drugs from the analysis resulted in all differences in mean IC50 FC between subtype B and non-B subtypes not to be significant.
Conclusion
Predictions showed significant difference between the predicted mean IC50 FC values for the both A and G HIV-1 subtypes compared to IC50 FC for subtype B. This is in large driven by reduced susceptibility to amprenavir, atazanavir, nelfinavir, and zidovudine and does also affect susceptibility for C and CRF_AG subtypes. With the majority of the drugs we did not find any reduced susceptibility for the subtypes.
References
- 1.
Kjær J, et al: Prediction of phenotypic susceptibility to antiretroviral drugs using physiochemical properties of the primary enzymatic structure combined with artificial neural networks. HIV Med. 2008 (July 2)
Author information
Affiliations
Corresponding author
Rights and permissions
Open Access This article is published under license to BioMed Central Ltd. This is an Open Access article is distributed under the terms of the Creative Commons Attribution 2.0 International License (https://creativecommons.org/licenses/by/2.0), which permits unrestricted use, distribution, and reproduction in any medium, provided the original work is properly cited.
About this article
Cite this article
Kjær, J., Høj, L., Cozzi-Lepri, A. et al. Are non-B subtypes less susceptible to antiretroviral drugs? A bioinformatical approach to prediction of non-B subtype susceptibility. JIAS 11, P183 (2008). https://doi.org/10.1186/1758-2652-11-S1-P183
Published:
Keywords
- Zidovudine
- Tenofovir
- Efavirenz
- Nevirapine
- Indinavir
